Вернуться к содержанию учебника
№2.557 учебника 2021-2022 (стр. 112):
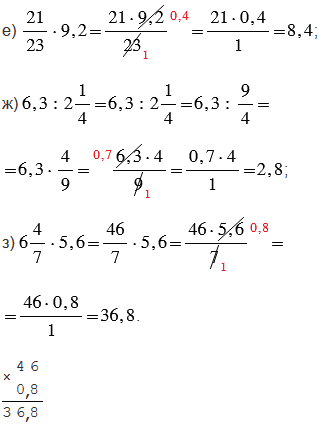
Выполните действия:

№2.557 учебника 2021-2022 (стр. 112):
Вспомните:
№2.557 учебника 2021-2022 (стр. 112):



Пояснения:
Действия с дробными выражениями выполняют по правилам действий с обыкновенными дробями.
Чтобы умножить обыкновенную дробь на десятичную дробь, нужно ее числитель умножить на эту десятичную дробь, а знаменатель оставить без изменения.
Чтобы умножить смешанное число на десятичную дробь, нужно смешанное число преобразовать в неправильную дробь, а затем воспользоваться правилом умножения обыкновенной дроби на десятичную дробь.
Чтобы найти частное двух дробей, надо делимое умножить на число, обратное делителю. При этом помним, обратным числу
является число
.
Чтобы выполнить деление смешанных чисел, нужно записать эти числа в виде неправильных дробей, а затем воспользоваться правилом деления дробей.
Чтобы преобразовать смешанное число в неправильную дробь, надо целую часть числа умножить на знаменатель дробной части и к полученному произведению прибавить числитель дробной части; эту сумму записать как числитель неправильной дроби, а в ее знаменатель записать знаменатель дробной части смешанного числа.
При выполнении умножения дробей, чтобы вычисления были проще, не надо перемножать сразу, лучше сделать это после сокращения. Сократить дробь - значит, разделить ее числитель и знаменатель на одно и то же число (наибольший общий делитель).
Чтобы разделить десятичную дробь на натуральное число, нужно разделить дробь на это число, не обращая внимания на запятую и поставить в частном запятую, когда кончится деление целой части.
Чтобы умножить десятичную дробь на натуральное число, надо умножить их как натуральные числа, не обращая внимание на запятую и в полученном произведении отделить запятой справа столько цифр, сколько их стоит после запятой у умножаемой дроби.
Дробное выражение, у которого в знаменателе стоит единица, равно своему числителю.
Вернуться к содержанию учебника